Discussion 5: Trees, Data Abstraction, Sequences

This is an online worksheet that you can work on during discussions. Your work is not graded and you do not need to submit anything.

Data Abstraction

Data abstraction is a powerful concept in computer science that allows programmers to treat code as objects. For example, using code to represent cars, chairs, people, and so on. That way, programmers don't have to worry about how code is implemented; they just have to know what it does.

Data abstraction mimics how we think about the world. If you want to drive a car, you don't need to know how the engine was built or what kind of material the tires are made of to do so. You just have to know how to use the car for driving itself, such as how to turn the wheel or press the gas pedal.

A data abstraction consists of two types of functions:

  • Constructors: functions that build the abstract data type.
  • Selectors: functions that retrieve information from the data type.

Programmers design data abstractions to abstract away how information is stored and calculated such that the end user does not need to know how constructors and selectors are implemented. The nature of abstraction allows whoever uses them to assume that the functions have been written correctly and work as described.

Trees

One example of data abstraction is with trees.

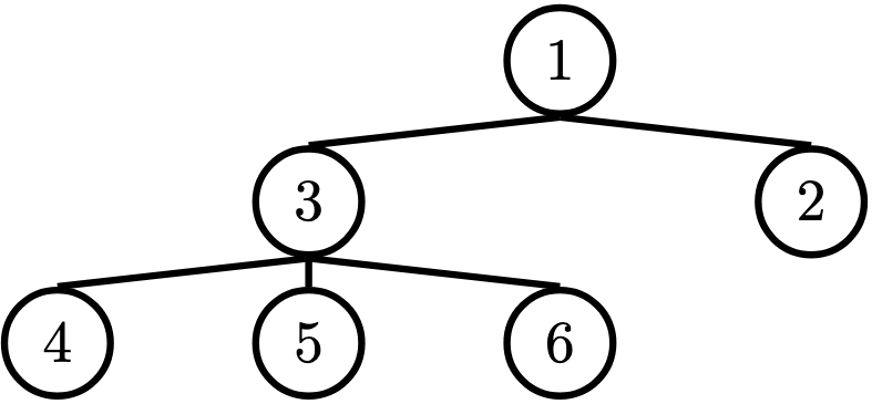
In computer science, trees are recursive data structures that are widely used in various settings and can be implemented in many ways. The diagram below is an example of a tree.

Example Tree

Generally in computer science, you may see trees drawn "upside-down" like so. We say the root is the node where the tree begins to branch out at the top, and the leaves are the nodes where the tree ends at the bottom.

Some terminology regarding trees:

  • Parent Node: A node that has at least one branch.
  • Child Node: A node that has a parent. A child node can only have one parent.
  • Root: The top node of the tree. In our example, this is the 1 node.
  • Label: The value at a node. In our example, every node's label is an integer.
  • Leaf: A node that has no branches. In our example, the 4, 5, 6, 2 nodes are leaves.
  • Branch: A subtree of the root. Trees have branches, which are trees themselves: this is why trees are recursive data structures.
  • Depth: How far away a node is from the root. We define this as the number of edges between the root to the node. As there are no edges between the root and itself, the root has depth 0. In our example, the 3 node has depth 1 and the 4 node has depth 2.
  • Height: The depth of the lowest (furthest from the root) leaf. In our example, the 4, 5, and 6 nodes are all the lowest leaves with depth 2. Thus, the entire tree has height 2.

In computer science, there are many different types of trees, used for different purposes. Some vary in the number of branches each node has; others vary in the structure of the tree.

Tree Data Abstraction

A tree has a root value and a list of branches, where each branch is itself a tree.

The data abstraction specifies that calling branches on a tree t will give us a list of branches. Treating the return value of branches(t) as a list is then part of how we define trees.

How the entire tree t is implemented is under the abstraction barrier. Rather than assuming an implementation of label and branches, we will want to use those selector functions directly.

For example, we could choose to implement the tree data abstraction with a dictionary with separate entries for the label and the branches, or as a list with the first element being label and the rest being branches.

  • The tree constructor takes in a value label for the root, and an optional list of branches branches. If branches isn't given, the constructor uses the empty list [] as the default.
  • The label selector returns the value of the root, while the branches selector returns the list of branches of the tree.

With this in mind, we can create the tree from earlier using our constructor:

t = tree(1,
      [tree(3,
          [tree(4),
           tree(5),
           tree(6)]),
      tree(2)])

Questions

Q1: Tree Abstraction Barrier

Consider a tree t constructed by calling tree(1, [tree(2), tree(4)]). For each of the following expressions, answer these two questions:

  • What does the expression evaluate to?
  • Does the expression violate any abstraction barriers? If so, write an equivalent expression that does not violate abstraction barriers.
  1. label(t)

  2. t[0]

  3. label(branches(t)[0])

  4. is_leaf(t[1:][1])

  5. [label(b) for b in branches(t)]

  6. Challenge: branches(tree(5, [t, tree(3)]))[0][0]

Q2: Height

Write a function that returns the height of a tree. Recall that the height of a tree is the length of the longest path from the root to a leaf.

Run in 61A Code

Q3: Maximum Path Sum

Write a function that takes in a tree and returns the maximum sum of the values along any path in the tree. Recall that a path is from the tree's root to any leaf.

Run in 61A Code

Q4: Find Path

Write a function that takes in a tree and a value x and returns a list containing the nodes along the path required to get from the root of the tree to a node containing x.

If x is not present in the tree, return None. Assume that the entries of the tree are unique.

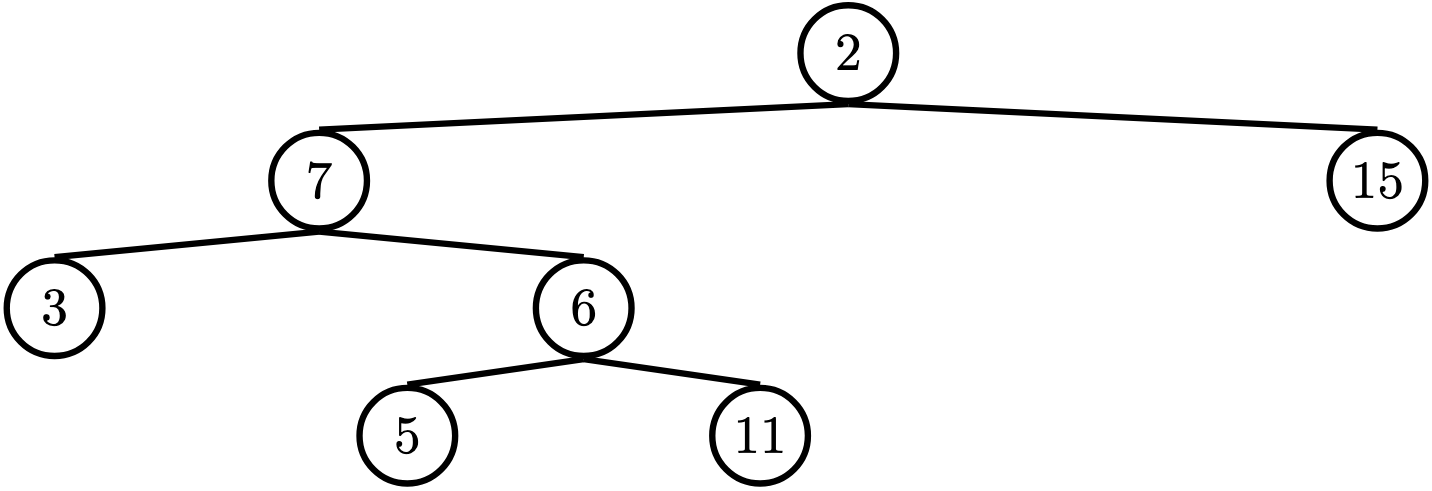
For the following tree, find_path(t, 5) should return [2, 7, 6, 5]

Example Tree

Run in 61A Code

Sequences

Sequences are ordered collections of values that support element-selection and have length. We've worked with lists, but other Python types are also sequences, including strings.

Q5: Map, Filter, Reduce

Many languages provide map, filter, reduce functions for sequences. Python also provides these functions (and we'll formally introduce them later on in the course), but to help you better understand how they work, you'll be implementing these functions in the following problems.

In Python, the map and filter built-ins have slightly different behavior than the my_map and my_filter functions we are defining here.

my_map takes in a one argument function fn and a sequence seq and returns a list containing fn applied to each element in seq.

Run in 61A Code

my_filter takes in a predicate function pred and a sequence seq and returns a list containing all elements in seq for which pred returns True.

Run in 61A Code

my_reduce takes in a two argument function combiner and a non-empty sequence seq and combines the elements in seq into one value using combiner.

Run in 61A Code

Q6: Count palindromes

Write a function that counts the number of palindromes (any word that reads the same forwards as it does when read backwards) in a list of words using only lambda, string operations, conditional expressions, and the functions we defined above (my_filter, my_map, my_reduce). Specifically, do not use recursion or any kind of loop.

Run in 61A Code

Hint: The easiest way to get the reversed version of a string s is to use the Python slicing notation trick s[::-1]. Also, the function lower, when called on strings, converts all of the characters in the string to lowercase. For instance, if the variable s contains the string "PyThoN", the expression s.lower() evaluates to "python".

Additional Practice

Q7: Perfectly Balanced

Part A: Implement sum_tree, which returns the sum of all the labels in tree t.

Part B: Implement balanced, which returns whether every branch of t has the same total sum and that the branches themselves are also balanced.

Challenge: Solve both of these parts with just 1 line of code each.

Run in 61A Code
Run in 61A Code

Q8: Hailstone Tree

We can represent the hailstone sequence as a tree in the figure below, showing the route different numbers take to reach 1. Remember that a hailstone sequence starts with a number n, continuing to n/2 if n is even or 3n+1 if n is odd, ending with 1. Write a function hailstone_tree(n, h) which generates a tree of height h, containing hailstone numbers that will reach n.

Hint: A node of a hailstone tree will always have at least one, and at most two branches (which are also hailstone trees). Under what conditions do you add the second branch?

Run in 61A Code