Lab 08: Linked Lists, Mutable Trees
Files: lab08.zip
Starter Files
Download lab08.zip. Inside the archive, you will find starter files for the questions in this lab, along with a copy of the Ok autograder.
Topics
Consult this section if you need a refresher on the material for this lab. It's okay to skip directly to the questions and refer back here should you get stuck.
Linked Lists
We've learned that a Python list is one way to store sequential values. Another type of list is a linked list. A Python list stores all of its elements in a single object, and each element can be accessed by using its index. A linked list, on the other hand, is a recursive object that only stores two things: its first value and a reference to the rest of the list, which is another linked list.
We can implement a class, Link, that represents a linked list object.
Each instance of Link has two instance attributes, first and rest.
class Link:
"""A linked list.
>>> s = Link(1)
>>> s.first
1
>>> s.rest is Link.empty
True
>>> s = Link(2, Link(3, Link(4)))
>>> s.first = 5
>>> s.rest.first = 6
>>> s.rest.rest = Link.empty
>>> s # Displays the contents of repr(s)
Link(5, Link(6))
>>> s.rest = Link(7, Link(Link(8, Link(9))))
>>> s
Link(5, Link(7, Link(Link(8, Link(9)))))
>>> print(s) # Prints str(s)
<5 7 <8 9>>
"""
empty = ()
def __init__(self, first, rest=empty):
assert rest is Link.empty or isinstance(rest, Link)
self.first = first
self.rest = rest
def __repr__(self):
if self.rest is not Link.empty:
rest_repr = ', ' + repr(self.rest)
else:
rest_repr = ''
return 'Link(' + repr(self.first) + rest_repr + ')'
def __str__(self):
string = '<'
while self.rest is not Link.empty:
string += str(self.first) + ' '
self = self.rest
return string + str(self.first) + '>'
A valid linked list can be one of the following:
- An empty linked list (
Link.empty) - A
Linkobject containing the first value of the linked list and a reference to the rest of the linked list
What makes a linked list recursive is that the rest attribute of a
single Link instance is another linked list! In the big picture, each
Link instance stores a single value of the list. When multiple Links
are linked together through each instance's rest attribute, an entire
sequence is formed.
Note: This definition means that the
restattribute of anyLinkinstance must be eitherLink.emptyor anotherLinkinstance! This is enforced inLink.__init__, which raises anAssertionErrorif the value passed in forrestis neither of these things.
To check if a linked list is empty, compare it against the class
attribute Link.empty. For example, the function below prints out
whether or not the link it is handed is empty:
def test_empty(link):
if link is Link.empty:
print('This linked list is empty!')
else:
print('This linked list is not empty!')
Mutable Trees
We define a tree to be a recursive data abstraction that has a label
(the value stored in the root of the tree) and branches (a list of
trees directly underneath the root).
Previously we implemented trees by using a functional data abstraction,
with the tree constructor function and the label and branches
selector functions. Now we implement trees by creating the Tree class.
Here is part of the class included in the lab.
class Tree:
"""
>>> t = Tree(3, [Tree(2, [Tree(5)]), Tree(4)])
>>> t.label
3
>>> t.branches[0].label
2
>>> t.branches[1].is_leaf()
True
"""
def __init__(self, label, branches=[]):
for b in branches:
assert isinstance(b, Tree)
self.label = label
self.branches = list(branches)
def is_leaf(self):
return not self.branches
Even though this is a new implementation, everything we know about the functional tree data abstraction remains true. That means that solving problems involving trees as objects uses the same techniques that we developed when first studying the functional tree data abstraction (e.g. we can still use recursion on the branches!). The main difference, aside from syntax, is that tree objects are mutable.
Here is a summary of the differences between the tree data abstraction implemented as a functional abstraction vs. implemented as class:
| Action | Tree constructor and selector functions | Tree class |
|---|---|---|
| Constructing a tree | To construct a tree given a label and a list of branches, we call tree(label, branches) |
To construct a tree object given a label and a list of branches, we call Tree(label, branches) (which calls the Tree.__init__ method). |
| Label and branches | To get the label or branches of a tree t, we call label(t) or branches(t) respectively |
To get the label or branches of a tree t, we access the instance attributes t.label or t.branches respectively. |
| Mutability | The functional tree data abstraction is immutable because we cannot assign values to call expressions | The label and branches attributes of a Tree instance can be reassigned, mutating the tree. |
| Checking if a tree is a leaf | To check whether a tree t is a leaf, we call the convenience function is_leaf(t) |
To check whether a tree t is a leaf, we call the bound method t.is_leaf(). This method can only be called on Tree objects. |
Implementing trees as a class gives us another advantage: we can specify
how we want them to be output by the interpreter by implementing the
__repr__ and __str__ methods.
Here is the __repr__ method:
def __repr__(self):
if self.branches:
branch_str = ', ' + repr(self.branches)
else:
branch_str = ''
return 'Tree({0}{1})'.format(self.label, branch_str)
With this implementation of __repr__, a Tree instance is displayed
as the exact constructor call that created it:
>>> t = Tree(4, [Tree(3), Tree(5, [Tree(6)]), Tree(7)])
>>> t
Tree(4, [Tree(3), Tree(5, [Tree(6)]), Tree(7)])
>>> t.branches
[Tree(3), Tree(5, [Tree(6)]), Tree(7)]
>>> t.branches[0]
Tree(3)
>>> t.branches[1]
Tree(5, [Tree(6)])
Here is the __str__ method. You do not need to understand how this
function is implemented.
def __str__(self):
def print_tree(t, indent=0):
tree_str = ' ' * indent + str(t.label) + "\n"
for b in t.branches:
tree_str += print_tree(b, indent + 1)
return tree_str
return print_tree(self).rstrip()
With this implementation of __str__, we can pretty-print a Tree to
see both its contents and structure:
>>> t = Tree(4, [Tree(3), Tree(5, [Tree(6)]), Tree(7)])
>>> print(t)
4
3
5
6
7
>>> print(t.branches[0])
3
>>> print(t.branches[1])
5
6
Required Questions
Linked Lists
Q1: WWPD: Linked Lists
Read over the Link class in lab08.py. Make sure you understand the
doctests.
Use Ok to test your knowledge with the following "What Would Python Display?" questions:
python3 ok -q link -uEnter
Functionif you believe the answer is<function ...>,Errorif it errors, andNothingif nothing is displayed.If you get stuck, try drawing out the box-and-pointer diagram for the linked list on a piece of paper or loading the
Linkclass into the interpreter withpython3 -i lab08.py.
>>> from lab08 import *
>>> link = Link(1000)
>>> link.first
______
>>> link.rest is Link.empty
______
>>> link = Link(1000, 2000)
______
>>> link = Link(1000, Link())
______
>>> from lab08 import *
>>> link = Link(1, Link(2, Link(3)))
>>> link.first
______
>>> link.rest.first
______
>>> link.rest.rest.rest is Link.empty
______
>>> link.first = 9001
>>> link.first
______
>>> link.rest = link.rest.rest
>>> link.rest.first
______
>>> link = Link(1)
>>> link.rest = link
>>> link.rest.rest.rest.rest.first
______
>>> link = Link(2, Link(3, Link(4)))
>>> link2 = Link(1, link)
>>> link2.first
______
>>> link2.rest.first
______
>>> from lab08 import *
>>> link = Link(5, Link(6, Link(7)))
>>> link # Look at the __repr__ method of Link
______
>>> print(link) # Look at the __str__ method of Link
______
Q2: Convert Link
Write a function convert_link that takes in a linked list and returns
the sequence as a Python list. You may assume that the input list is
shallow; that is none of the elements is another linked list.
Try to find both an iterative and recursive solution for this problem!
def convert_link(link):
"""Takes a linked list and returns a Python list with the same elements.
>>> link = Link(1, Link(2, Link(3, Link(4))))
>>> convert_link(link)
[1, 2, 3, 4]
>>> convert_link(Link.empty)
[]
"""
"*** YOUR CODE HERE ***"
Use Ok to test your code:
python3 ok -q convert_link
Trees
Q3: WWPD: Trees
Use Ok to test your knowledge with the following "What Would Python Display?" questions:
python3 ok -q trees-wwpd -uEnter
Functionif you believe the answer is<function ...>,Errorif it errors, andNothingif nothing is displayed. Recall thatTreeinstances will be displayed the same way they are constructed.
>>> from lab08 import *
>>> t = Tree(1, Tree(2))
______
>>> t = Tree(1, [Tree(2)])
>>> t.label
______
>>> t.branches[0]
______
>>> t.branches[0].label
______
>>> t.label = t.branches[0].label
>>> t
______
>>> t.branches.append(Tree(4, [Tree(8)]))
>>> len(t.branches)
______
>>> t.branches[0]
______
>>> t.branches[1]
______
Q4: Cumulative Mul
Write a function cumulative_mul that mutates the Tree t so that each
node's label becomes the product of its label and all labels in the
subtrees rooted at the node.
def cumulative_mul(t):
"""Mutates t so that each node's label becomes the product of all labels in
the corresponding subtree rooted at t.
>>> t = Tree(1, [Tree(3, [Tree(5)]), Tree(7)])
>>> cumulative_mul(t)
>>> t
Tree(105, [Tree(15, [Tree(5)]), Tree(7)])
"""
"*** YOUR CODE HERE ***"
Use Ok to test your code:
python3 ok -q cumulative_mul
Submit
Submissions will be in Canvas.
It is highly recommended that you test your code before you submit it. To run all of the tests for the required questions, type:
python3 ok
Optional Questions
Q5: Square
Write a function label_squarer that mutates a Tree with numerical
labels so that each label is squared.
def label_squarer(t):
"""Mutates a Tree t by squaring all its elements.
>>> t = Tree(1, [Tree(3, [Tree(5)]), Tree(7)])
>>> label_squarer(t)
>>> t
Tree(1, [Tree(9, [Tree(25)]), Tree(49)])
"""
"*** YOUR CODE HERE ***"
Use Ok to test your code:
python3 ok -q label_squarer
Q6: Add Leaves
Implement add_d_leaves, a function that takes in a Tree instance t
and a number v.
We define the depth of a node in t to be the number of edges from the
root to that node. The depth of root is therefore 0.
For each node in the tree, you should add d leaves to it, where d is
the depth of the node. Every added leaf should have a label of v. If
the node at this depth has existing branches, you should add these
leaves to the end of that list of branches.
For example, you should be adding 1 leaf with label v to each node at
depth 1, 2 leaves to each node at depth 2, and so on.
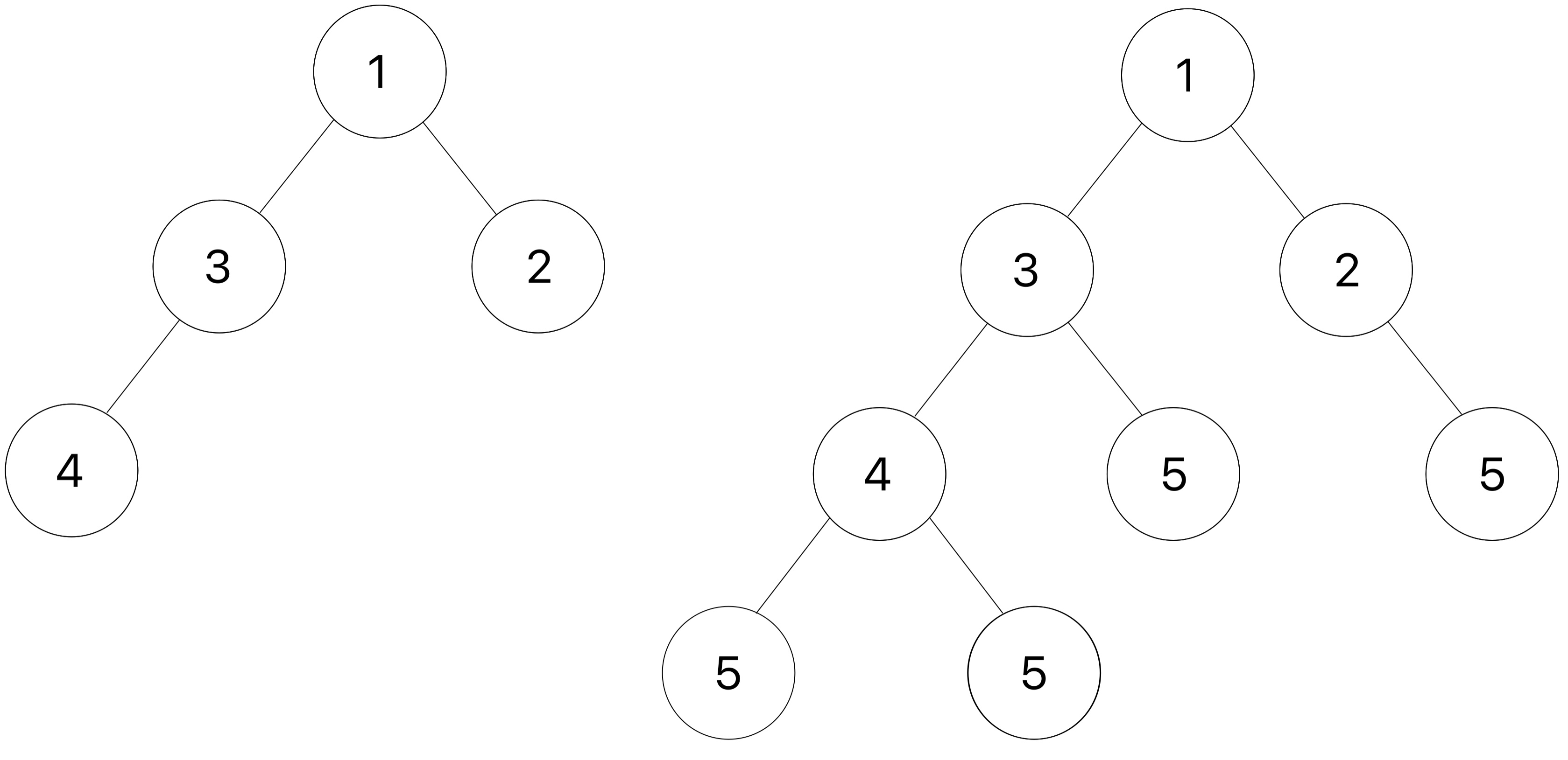
Here is an example of a tree t(shown on the left) and the result after
add_d_leaves is applied with v as 5.

Hint: Use a helper function to keep track of the depth!
def add_d_leaves(t, v):
"""Add d leaves containing v to each node at every depth d.
>>> t_one_to_four = Tree(1, [Tree(2), Tree(3, [Tree(4)])])
>>> print(t_one_to_four)
1
2
3
4
>>> add_d_leaves(t_one_to_four, 5)
>>> print(t_one_to_four)
1
2
5
3
4
5
5
5
>>> t1 = Tree(1, [Tree(3)])
>>> add_d_leaves(t1, 4)
>>> t1
Tree(1, [Tree(3, [Tree(4)])])
>>> t2 = Tree(2, [Tree(5), Tree(6)])
>>> t3 = Tree(3, [t1, Tree(0), t2])
>>> print(t3)
3
1
3
4
0
2
5
6
>>> add_d_leaves(t3, 10)
>>> print(t3)
3
1
3
4
10
10
10
10
10
10
0
10
2
5
10
10
6
10
10
10
"""
"*** YOUR CODE HERE ***"
Use Ok to test your code:
python3 ok -q add_d_leaves
Q7: Every Other
Implement every_other, which takes a linked list s. It mutates s
such that all of the odd-indexed elements (using 0-based indexing) are
removed from the list. For example:
>>> s = Link('a', Link('b', Link('c', Link('d'))))
>>> every_other(s)
>>> s.first
'a'
>>> s.rest.first
'c'
>>> s.rest.rest is Link.empty
True
If s contains fewer than two elements, s remains unchanged.
Do not return anything!
every_othershould mutate the original list.
def every_other(s):
"""Mutates a linked list so that all the odd-indiced elements are removed
(using 0-based indexing).
>>> s = Link(1, Link(2, Link(3, Link(4))))
>>> every_other(s)
>>> s
Link(1, Link(3))
>>> odd_length = Link(5, Link(3, Link(1)))
>>> every_other(odd_length)
>>> odd_length
Link(5, Link(1))
>>> singleton = Link(4)
>>> every_other(singleton)
>>> singleton
Link(4)
"""
"*** YOUR CODE HERE ***"
Use Ok to test your code:
python3 ok -q every_other
Q8: Prune Small
Complete the function prune_small that takes in a Tree t and a
number n and prunes t mutatively. If t or any of its branches has
more than n branches, the n branches with the smallest labels should
be kept and any other branches should be pruned, or removed, from the
tree.
def prune_small(t, n):
"""Prune the tree mutatively, keeping only the n branches
of each node with the smallest label.
>>> t1 = Tree(6)
>>> prune_small(t1, 2)
>>> t1
Tree(6)
>>> t2 = Tree(6, [Tree(3), Tree(4)])
>>> prune_small(t2, 1)
>>> t2
Tree(6, [Tree(3)])
>>> t3 = Tree(6, [Tree(1), Tree(3, [Tree(1), Tree(2), Tree(3)]), Tree(5, [Tree(3), Tree(4)])])
>>> prune_small(t3, 2)
>>> t3
Tree(6, [Tree(1), Tree(3, [Tree(1), Tree(2)])])
"""
while ___________________________:
largest = max(_______________, key=____________________)
_________________________
for __ in _____________:
___________________
Use Ok to test your code:
python3 ok -q prune_small